问题 G: 量子弹弓

内存限制:263 MB 时间限制:2 S
题面:传统 评测方式:文本比较 上传者:
提交:2 通过:1

题目描述

帝国控制着 nn 个脉冲星系,编号为 1,2,3,⋯,n1,2,3,,n,并给每个星系中安装了一个 量子弹弓,编号为 ii1≤i≤n1in)的星系中的量子弹弓强度为非负整数 pipi。为了增强星系之间的联络,总督希望用 n−1n1 条 虫洞通道 连接这些星系使得它们连通(其中每条虫洞通道的两端连接两个星系),也就是形成一棵树的结构。

量子弹弓可以让飞船由宇宙空间从一个星系穿梭到另一个星系,但有一个重要的前提。具体地,处在编号为 ii1≤i≤n1in)的星系中的量子弹弓可以让飞船从该星系 穿梭 到编号为 jj1≤j≤n1jni≠ji=j)的星系,当且仅当在这两个星系之间由虫洞通道构成的唯一简单路径中,虫洞通道的数量不超过这个量子弹弓的强度。

总督现在要求你制定星系间交通联络的方案。你需要构造这样一种建立虫洞通道的方式,和星系间的一个包含每个星系恰好一次的回路,使得飞船从回路上的任意一个星系开始,都能一直穿梭到回路中当前所处星系的后一个星系,最终回到初始所在星系。

由于总督下午就要去参加听证会,他只希望知道是否存在这样的构造。

形式化地,你需要判断是否存在一棵由编号为 1,2,3,⋯,n1,2,3,,n 的点构成的树 TT 和一个 [1,n][1,n] 的排列 aa,使得对于所有整数 ii1≤i≤n1in),dis(ai,a(imodn)+1)≤paidis(ai,a(imodn)+1)pai,其中 dis(u,v)dis(u,v) 表示编号为 u,vu,v 的两点在 TT 上的唯一简单路径的边数,modmod 表示取模,例如 3mod2=1,(−7)mod3=23mod2=1,(7)mod3=2

输入格式

本题包含多组测试数据。

首先在第一行输入一个整数 TT1≤T≤1061T106)表示测试数据组数。

对于每一组测试数据,输入包含两行。

第一行包含一个整数 nn2≤n≤105,2≤∑n≤1062n105,2n106),表示脉冲星系数量。

第二行包含 nn 个整数 p1,p2,p3,⋯,pnp1,p2,p3,,pn0≤p1,p2,p3,⋯,pn<n0p1,p2,p3,,pn<n)表示每个星系中量子弹弓的强度。

输出格式

对于每一组测试数据,输出包含一行。

若不存在满足题意的建立虫洞通道的方式与星系间的一个回路,输出一行包含一个字符串 NO。若存在,输出一行包含一个字符串 YES。

输入样例 复制

5
4
2 1 2 2
5
4 1 1 1 1
5
0 2 0 2 4
6
1 3 1 2 1 1
6
2 2 2 2 1 1

输出样例 复制

YES
YES
NO
NO
YES

数据范围与提示

这个样例共有五组测试数据。

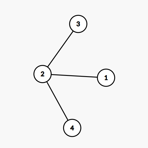
在第一组测试数据中,可以构造以下的建立虫洞通道的方式以及星系回路 a=[1,2,3,4]a=[1,2,3,4]
figure

此时:

  1. 编号为 a1=1,a2=2a1=1,a2=2 的星系之间由虫洞通道构成的唯一简单路径中,虫洞通道的数量为 111≤pa1=21pa1=2
  2. 编号为 a2=2,a3=3a2=2,a3=3 的星系之间由虫洞通道构成的唯一简单路径中,虫洞通道的数量为 111≤pa2=11pa2=1
  3. 编号为 a3=3,a4=4a3=3,a4=4 的星系之间由虫洞通道构成的唯一简单路径中,虫洞通道的数量为 222≤pa3=22pa3=2
  4. 编号为 a4=4,a1=1a4=4,a1=1 的星系之间由虫洞通道构成的唯一简单路径中,虫洞通道的数量为 222≤pa4=22pa4=2

在第二组测试数据中,可以构造以下的建立虫洞通道的方式以及星系回路 a=[2,3,4,5,1]a=[2,3,4,5,1]
figure

此时:

  1. 编号为 a1=2,a2=3a1=2,a2=3 的星系之间由虫洞通道构成的唯一简单路径中,虫洞通道的数量为 111≤pa1=11pa1=1
  2. 编号为 a2=3,a3=4a2=3,a3=4 的星系之间由虫洞通道构成的唯一简单路径中,虫洞通道的数量为 111≤pa2=11pa2=1
  3. 编号为 a3=4,a4=5a3=4,a4=5 的星系之间由虫洞通道构成的唯一简单路径中,虫洞通道的数量为 111≤pa3=11pa3=1
  4. 编号为 a4=5,a5=1a4=5,a5=1 的星系之间由虫洞通道构成的唯一简单路径中,虫洞通道的数量为 111≤pa4=11pa4=1
  5. 编号为 a5=1,a1=2a5=1,a1=2 的星系之间由虫洞通道构成的唯一简单路径中,虫洞通道的数量为 444≤pa5=44pa5=4

可以证明,在第三、四组测试数据中,不存在满足题意的建立虫洞通道的方式与星系间的一个回路;在第五组测试数据中,存在满足题意的建立虫洞通道的方式与星系间的一个回路。

分类标签